45 virtual microscope lab worksheet
Virtual Microscope worksheet(3) (1).docx - Lab 5 - Course Hero Procedure 2 - Practice a Light Microscope Virtually 1. Click on the following hyperking to complete theVirtual Microscope Lab. 2. Scroll down and click "Guide" and "Learn" to get an introduction to the virtual lab and to learn more about the microscope you will be using. 3. Click "Main" at the bottom-left to return to the main menu. Virtual Microscope | Open at UD - University of Delaware The Virtual Microscope is a full-fledged simulation that allows users to select and position slides, adjust lighting, magnification and focus, and measure specimens. A narrated demonstration is available to guide students through the steps required to bring a specimen into focus.
Lab 1- Microscopy - Background In this lab you will be ... - StuDocu Lab 1: Microscopy For this lab you will read through the material below, perform the online lab activities (page 6), then complete the lab 1 assignment in Blackboard.

Virtual microscope lab worksheet
VIRTUAL LAB: Microscope Flashcards | Quizlet The compound microscope has two systems of lenses for greater magnification, the ocular, or eyepiece lens that one looks into and the objective lens, or the lens closest to the objecoct. Arm. The part of the microscope that connects the tube to the base. Stage. A place where the specimen is placed for observation. Virtual Microscope worksheet(3).docx - Lab 5 - Understanding Microscopy ... Procedure 2 - Practice a Light Microscope Virtually 1. Click on the following hyperking to complete theVirtual Microscope Lab. 2. Scroll down and click "Guide" and "Learn" to get an introduction to the virtual lab and to learn more about the microscope you will be using. 3. Click "Main" at the bottom-left to return to the main menu. PDF Virtual Mitosis Lab - Weebly Virtual Mitosis Lab Clayton State University Torsten Wittman CLICK Here to Begin This lab is designed for you to use the links to click from one slide to the next. To maximize your learning of this material, use the links to navigate rather than scrolling from one slide to the next. All clickable links appear like this: Clickable Link. You may
Virtual microscope lab worksheet. microscope lab worksheet The Microscope - Review Worksheet Editable by Tangstar Science. 17 Images about The Microscope - Review Worksheet Editable by Tangstar Science : 28+ Collection Of Microscope Slide Drawing Worksheet | Free Worksheets, 41 Virtual Microscope Lab Worksheet - combining like terms worksheet and also studylib.net - Essays, homework help, flashcards, research papers, book. Virtual Electron Microscope - Educational Activity for Kids and Adults A TEM or SEM virtual electron microscope can be a wonderful adjunct to a biology or chemistry course, providing access to images otherwise limited to those with access to an electron microscope. In addition, with the prevalence of distance learning and on-line courses, students will be able to obtain some lab experience despite learning from home. Virtual Microscope - The Biology Corner Virtual Microscope Shannan Muskopf July 4, 2020 This worksheet can be used with the Virtual Microscope where students can place specimens on a stage and use coarse and fine adjustment knobs to magnify up to 100x. Generally, I have my students practice with real microscopes, starting with a basic tutorial lab where they focus on the letter "e." Virtual Microscope Lab Worksheet!... - U.S. Biology Teaching | Facebook Virtual Microscope Lab Worksheet! In this virtual microscope lab, your students will learn about different types of microscopes. Students will explore the light microscope and the electron...
kindergarten microscope pond water worksheet Pond Water Lab Worksheet - Nidecmege nidecmege.blogspot.com. succession worksheet ecological answers ecosystems pond key answer worksheets changes water lab stages ecosystem communities environmental biology studylib g2 biomes. Pond Water Microscope Lab Worksheet briefencounters.ca. Virtual Microscope Lab Worksheet - Worksheet List nofisunthi ... Virtual Microscope Introduction Lab Printable - StuDocu Virtual Microscope Introduction Lab. Name Period. Introduction: This guided virtual lab covers the basics of light. You will identify components of the microscope, understand the functions of those components, learn how to focus on a specimen, and review proper care and maintenance. Procedure: Part 1: Introduction to the Microscope and its parts 1. PDF MICROSCOPE LAB - Yavapai College 82510 Microscope Lab 2-3 Exercise #1 — Parts of the Microscope Place the microscope on your desk with the oculars (eyepieces) pointing toward you. Plug in the electric cord and turn on the power by pushing the button or turning the switch. In order for you to use the microscope properly, you must know its basic parts. Figure 1 Microscope Lab Worksheet - Introduction to the Microscope and ... - StuDocu Introduction to the Microscope and Laboratory Reporting Preparation. Instructions: Complete the worksheet for up to 20 points possible. Step 1: Learn about variation in the size of samples viewed with a microscope. Gain an understanding of the measurement scale utilized.
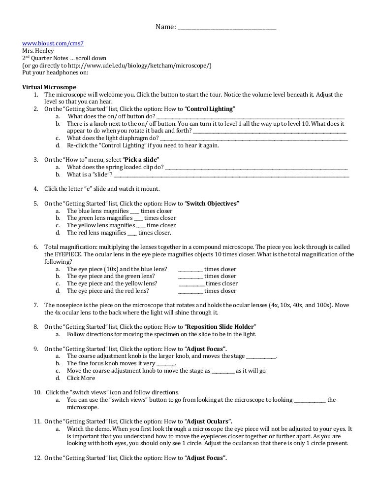
Virtual Microscope Worksheet..docx - Name Microscopy Lab... the virtual microscope will help you learn the following learning objectives: identify the parts of the microscope and understand the functions of those parts. understand common microscopy terms. calculate total magnification of a field of view. learn safe microscope operation. prepare to work with a real microscope in a future biology lab … PDF Basic Microscopy Laboratory Exercises - Centers for Disease Control and ... Use the 100X objective with oil immersion to detect and identify microscopic organisms. 3. Compute total magnification for the 40X high dry objective as well as other objectives. Exercises: 1. Place a microscope slide (Gram stain, Giemsa stain, etc.) on the brightfield microscope stage and focus on the specimen using the 10x objective. Microscope Lab Pre Answers Worksheet - mas.login.gr.it Forensic File Worksheet b Microscope Lab Day 1 HW: Study Microscope Labeling for mini-quiz Friday Oct 25 Microscope Label Mini-quiz Microscope and Tissue Lab HW: NONE Monday Oct 28th, 29th - No School Wednesday Oct Worksheets are Crayfish pre lab work, Crayfish dissection, Crawfish educational materials for grades k 8 high, Crayfish dissection ... Microscopy Pre-lab Activities - University of Delaware Practice what you have learned. The virtual scope has all the same controls found on the real thing. Microscope controls: turn knobs (click and hold on upper or lower portion of knob) throw switches (click and drag) turn dials (click and drag) move levers (click and drag) changes lenses (click and drag on objective housing)
Virtual Labs Virtual Labs™ Testing for Corn Mold Mycotoxins Bacteria Sampling Gram Staining Using the Microscope The pH Scale & Meter Calibration Testing/Adjusting pH Understanding Water Activity Controlling Water Activity Using the Microscope Recommended order:
Week 1 - Virtual Microscope Lab Flashcards | Quizlet PLAY. Match. Gravity. eyepiece/ocular lens. Click card to see definition 👆. Tap card to see definition 👆. what you actually look through to see your specimen. -the interocular distance is adjustable so that you can keep both eyes open when looking into the microscope. Click again to see term 👆.
PDF Virtual Lab: Introduction to the Microscope - Derry Area School District Virtual Lab: Introduction to the Microscope Objectives: • I can understand and explain the three parts of cell theory. • I can identify the different parts of a microscope. • I can explain why the microscope was invented and how it helped develop the cell theory. Internet Resources: (also available on Mrs. Sechrist's Derry web page)
Virtual Microscope Lab - Cheek Cells - The Biology Corner Click on the link that says "the virtual scope" 1. Familiarize yourself with the microscope, run the tutorial and examine the parts you will be working with. 2. View the slide labeled cheek smear. Sketch the image at Scanning, Low and High Power. LABEL on high power the CELL MEMBRANE, CYTOPLASM, and NUCLEUS. Scanning (4) Low (10) High (40) 3.
Virtual Microscope lab - USBiologyTeaching.com Students will learn about the scanning electron microscope (SEM) and the transmission electron microscope (TEM). Students will also "Evaluate the frontier of molecular and cellular research before and after the invention of microscopes" while completing this virtual microscope lab. Virtual Microscope Lab Worksheet Download
Virtual Microscopy - Placentia-Yorba Linda Unified School District Biology/Life Science Standard: I&E 1 a. Select and use appropriate tools and technology (such as computer-linked probes, spreadsheets, and graphing calculators) to perform tests, collect data, analyze relationships, and display
Introduction to the Microscope Virtual Lab Student Worksheet.pdf PROCEDURE 2: How to use a compound microscope to view slides 1) Click on theExplorelink (bottom of the home page). 2) Click on thequestion mark on the slide box. 3) In the Slide Catalog, click on theSample Slides. 4) Click on theLetter Eslide. It will automatically be placed on the stage of the microscope.
Virtual Microscope | NCBioNetwork.org BioNetwork's Virtual Microscope is the first fully interactive 3D scope - it's a great practice tool to prepare you for working in a science lab. ... Launch Activity. Overview. Learn terminology, usage, and care by interacting with a fully functional, virtual microscope. ...
Worksheet. Virtual Microscope.docx - Virtual Microscope... Virtual Microscope Worksheet Introduction: In this lab, you will use a "virtual microscope" which can be accessed via a webpage. This is obviously not the same as using a real microscope, but hopefully you'll get the idea - thesteps for use are all pretty similar. Print this page or have it available on your computer to write out your answers.
Microscope Lab Teaching Resources | Teachers Pay Teachers Microscope Chat: These microscope lab stations will ensure that your students have mastered the concepts of the microscope and its proper use.What is included in this product?• 11 Student Worksheets (A one-page worksheet per station.)• 11 Microscope Chat Lab Station Instruction Cards• 5-Page Teacher Guide• 10-Page Teacher Answer KeyWhat is the purpose of this activity?My "Chat ...
Virtual lab 2 worksheet measurements and microscopy - StuDocu In this lab, we will practice using common laboratory measuring instruments such as the metric ruler, the beaker, graduated cylinder and pipette, the triple beam and fine (electronic) balance, and the thermometer, to measure length, liquid volume, mass and temperature, respectively.
PDF Virtual Mitosis Lab - Weebly Virtual Mitosis Lab Clayton State University Torsten Wittman CLICK Here to Begin This lab is designed for you to use the links to click from one slide to the next. To maximize your learning of this material, use the links to navigate rather than scrolling from one slide to the next. All clickable links appear like this: Clickable Link. You may
Virtual Microscope worksheet(3).docx - Lab 5 - Understanding Microscopy ... Procedure 2 - Practice a Light Microscope Virtually 1. Click on the following hyperking to complete theVirtual Microscope Lab. 2. Scroll down and click "Guide" and "Learn" to get an introduction to the virtual lab and to learn more about the microscope you will be using. 3. Click "Main" at the bottom-left to return to the main menu.
VIRTUAL LAB: Microscope Flashcards | Quizlet The compound microscope has two systems of lenses for greater magnification, the ocular, or eyepiece lens that one looks into and the objective lens, or the lens closest to the objecoct. Arm. The part of the microscope that connects the tube to the base. Stage. A place where the specimen is placed for observation.
0 Response to "45 virtual microscope lab worksheet"
Post a Comment